Day 1 - Quartiles, Interquartile Range and standard deviation

Quartile

Definition

A quartile is a type of quantile. The first quartile (Q1) is defined as the middle number between the smallest number and the median of the data set. The second quartile (Q2) is the median of the data. The third quartile (Q3) is the middle value between the median and the highest value of the data set.

Implementation in python without using the scientific libraries

def median(l):
    l = sorted(l)
    if len(l) % 2 == 0:
        return (l[len(l) // 2] + l[(len(l)//2 - 1)]) / 2
    else:
        return l[len(l)//2]


def quartiles(l):
    # check the input is not empty
    if not l:
        raise StatsError('no data points passed')
    # 1. order the data set
    l = sorted(l)
    # 2. divide the data set in two halves
    mid = int(len(l) / 2)
    Q2 = median(l)
    if (len(l) % 2 == 0):
        # even
        Q1 = median(l[:mid])
        Q3 = median(l[mid:])
    else:
        # odd
        Q1 = median(l[:mid])  # same as even
        Q3 = median(l[mid+1:])

    return (Q1, Q2, Q3)
L = [3,7,8,5,12,14,21,13,18]
Q1, Q2, Q3 = quartiles(L)
print(f"Sample : {L}\nQ1 : {Q1}, Q2 : {Q2}, Q3 : {Q3}")
Sample : [3, 7, 8, 5, 12, 14, 21, 13, 18]
Q1 : 6.0, Q2 : 12, Q3 : 16.0

Interquartile Range

Definition

The interquartile range of an array is the difference between its first (Q1) and third (Q3) quartiles. Hence the interquartile range is Q3-Q1

Implementation in python without using the scientific libraries

print(f"Interquatile range : {Q3-Q1}")
Interquatile range : 10.0

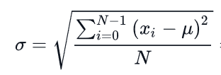
Standard deviation

Definition

The standard deviation (σ) is a measure that is used to quantify the amount of variation or dispersion of a set of data values. A low standard deviation indicates that the data points tend to be close to the mean (also called the expected value) of the set, while a high standard deviation indicates that the data points are spread out over a wider range of values.

The standard deviation can be computed with the formula:

Standard deviation

where µ is the mean :

Mean

Implementation in python without using the scientific libraries

import math 
X = [10,40,30,50,20]

mean = sum(X)/len(X)
X = [(x - mean)**2 for x in X]

std = math.sqrt(
    sum(X)/len(X)
    )
print(f"The distribution {X} has a standard deviation of {std}")
The distribution [400.0, 100.0, 0.0, 400.0, 100.0] has a standard deviation of 14.142135623730951